टेबल गेम्स - अक्सर पूछे जाने वाले प्रश्न
शानदार साइट! कार्ड क्लंपिंग पर आपके विचार जानने में मुझे दिलचस्पी है। मैंने जो सिद्धांत पढ़े हैं, उनमें डीलरों द्वारा कार्ड चुनने के लिए इस्तेमाल की जाने वाली विधि (पहले नेचुरल, फिर ब्रेक, और अंत में स्टैंडिंग हैंड) और फिर 8-डेक शूज़ को पूरी तरह से गणितीय रूप से यादृच्छिक बनाने के लिए अपर्याप्त रूप से फेरबदल करने के संबंध में कुछ दम लगता है। ऐसा लगता है कि इससे डीलर के बस्ट होने की संभावना कम हो जाती है, जिससे बेसिक स्ट्रैटेजी ऑड्स कम हो जाते हैं। शानदार काम करते रहें!
मैंने कार्ड क्लंपिंग का अध्ययन नहीं किया है, लेकिन मेरी राय में यह कोई वैध लाभ का खेल नहीं है। मैंने आज तक किसी भी पेशेवर जुआरी या लेखक को, जिसका मैं सम्मान करता हूँ, कार्ड क्लंपिंग को कोई सम्मान देते नहीं देखा।
क्या टेबल गेम्स में खिलाड़ियों की संख्या बदलने पर ऑड्स भी बदल जाते हैं? दूसरे शब्दों में, अगर ज़्यादा हाथ बाँटे जाते हैं, तो क्या ऑड्स बदल जाते हैं? अगर नहीं, तो क्या किसी खास खेल में हिस्सा लेने वाले खिलाड़ियों की संख्या के बारे में कोई ख़ास बात (ऑड्स के हिसाब से) है? इससे "दाँव" तय होगा।
आम तौर पर, नहीं, खिलाड़ियों की संख्या के आधार पर ऑड्स नहीं बदलते। मुझे बस एक अपवाद याद आता है, वह है पाई गौ पोकर में फॉर्च्यून जैसे साइड बेट्स, जिनमें ईर्ष्या बोनस होता है, और इसलिए खिलाड़ियों की संख्या के अनुसार बेहतर भुगतान होता है।
मुझे कैरिबियन स्टड और ब्लैकजैक दोनों पसंद हैं। स्टड के लिए जोखिम का तत्व 2.56% और ब्लैकजैक के लिए 0.38% है, यानी 6.7 का अनुपात। मान लीजिए मैं $15 का ब्लैकजैक और $5 का एंटे स्टड खेलता हूँ, यानी जब मैं दांव लगाता हूँ तो $15 का जोखिम होता है। चूँकि ब्लैकजैक बनाम स्टड में प्रति घंटे बाँटे जाने वाले हाथों की संख्या बहुत अधिक होती है, तो क्या इसका मतलब यह है कि अगर प्रति घंटे बाँटे जाने वाले हाथों का अनुपात 6.7 है, तो मैं अपने बैंकरोल की उतनी ही राशि गँवा दूँगा?
नहीं। यदि आप अपेक्षित नुकसान की तुलना करने में रुचि रखते हैं तो हाउस एज का उपयोग करना बेहतर होगा। हाउस एज पर मेरे अनुभाग में ब्लैकजैक हाउस एज 0.43% (अटलांटिक सिटी नियम) और कैरेबियन स्टड पोकर 5.22% दिखाया गया है। $5 एंटे पर कैरेबियन स्टड पोकर के 1 हाथ के लिए अपेक्षित नुकसान $5 * 5.22% = 26.10 सेंट है। $15 प्रति प्रारंभिक दांव पर ब्लैकजैक के 6.7 हाथों के लिए अपेक्षित नुकसान 6.7 * $15 * 0.43% = 43.22 सेंट है। इसलिए इन दो विकल्पों को देखते हुए आप कैरेबियन स्टड पोकर में कम हारेंगे। कैरेबियन स्टड पोकर और ब्लैकजैक के हाउस एज का अनुपात लगभग 12 है।
मेरे दोस्त और मैं एक साइड बेटिंग खेल रहे हैं। मैंने उससे कहा कि मुझे लगता है कि कैसीनो में ब्लैकजैक में जीतने के सबसे अच्छे मौके हैं, उसने मुझसे कहा कि उसे लगता है कि पोकर में जीतने के सबसे अच्छे मौके हैं। कैसीनो में, किस खेल में जीतने के सबसे अच्छे मौके हैं, ब्लैकजैक या पोकर?
हालाँकि इनकी तुलना करना मुश्किल है, मैं कहूँगा कि ब्लैकजैक बेहतर दांव है। बुनियादी रणनीति सीखकर एक अच्छा ब्लैकजैक खिलाड़ी बनना आसान है। एक अच्छा पोकर खिलाड़ी बनना मुश्किल है। कैसीनो पोकर रूम अक्सर बहुत अच्छे खिलाड़ियों से भरे होते हैं, जो बस किसी अनुभवहीन खिलाड़ी को लूटने का इंतज़ार करते हैं। हालाँकि, कुछ लोगों में पोकर खेलने की स्वाभाविक प्रतिभा हो सकती है, इसलिए मेरे जवाब पर थोड़ा संदेह करें।
कौन सा टेबल गेम जीतने की सबसे अच्छी संभावना रखता है और नौसिखिए जुआरी के लिए उपयोगकर्ता के अनुकूल है? अग्रिम धन्यवाद।
कैसीनो जुए का कोई अनुभव न रखने वाले और आसान खेल पर ज़ोर देने वाले व्यक्ति के लिए मैं बैकारेट से शुरुआत करूँगा। बस हर बार बैंकर पर दांव लगाएँ।
चूंकि मुझे कैसीनो का बहुत कम अनुभव है और मुझे नहीं लगता कि मैं आपकी साइट पर दी गई जानकारी के सभी बारीक बिंदुओं को याद रख सकता हूं, तो आप मुझे लास वेगास की अपनी आगामी यात्रा पर क्या खेलने की सलाह देंगे?
मैं क्रेप्स या बैकारेट की सलाह दूँगा। क्रेप्स में लाइन बेट्स और ऑड्स पर टिके रहें। बैकारेट में हर बार बैंकर पर दांव लगाएँ।
नमस्ते, मेरा एक सामान्य प्रश्न है। यह पोकर टेबल गेम्स के बारे में है। लगभग हर कैसीनो में "लेट इट राइड", "कैरिबियन स्टड पोकर" और "3 कार्ड पोकर" क्यों उपलब्ध हैं? आपकी वेबसाइट पर जिन पोकर गेम्स के बारे में मैं पढ़ रहा था, उनमें से कुछ अच्छे लगते हैं, लेकिन वे अटलांटिक सिटी में उपलब्ध नहीं हैं। क्या ऐसा इसलिए है क्योंकि ऊपर दिए गए गेम्स ज़्यादा लोकप्रिय हैं, या सिर्फ़ इसलिए कि कैसीनो इनसे ज़्यादा पैसा कमाता है? बस इसलिए कि अटलांटिक सिटी में बैलीज़ और सीज़र्स बोस्टन 5 पोकर गेम का परीक्षण कर रहे हैं, और मुझे अब तक यही गेम सबसे ज़्यादा पसंद आया है। मुझे उम्मीद है कि वे इसे वहीं रखेंगे। यह अच्छा है जब डीलर को क्वालिफाई करने की ज़रूरत नहीं होती (यही वजह है कि मैं कैरिबियन स्टड पोकर से बचने की कोशिश करता हूँ)। आपके समय के लिए धन्यवाद।
आखिरकार, कैसीनो में आप जो गेम देखते हैं, वही कैसीनो के लिए सबसे ज़्यादा कमाई कराते हैं। किसी गेम से पैसा कमाने के लिए खिलाड़ियों को उसे पसंद करना ज़रूरी है। इसलिए, आपने जिन गेम्स का ज़िक्र किया है, वे खिलाड़ियों को सबसे ज़्यादा मज़ेदार लगते हैं। यह भी एक अच्छी बात है कि ये बड़ी गेमिंग कंपनियों के स्वामित्व में हैं, जिनके पास इन्हें शुरू से ही बाज़ार में लाने के संसाधन हैं।
सबसे अधिक और सबसे कम अस्थिर खेल कौन से हैं?
पै गो पोकर सबसे कम अस्थिर है और औसतन केनो सबसे अधिक अस्थिर है।
प्रिय जादूगर,
शानदार साइट! मैं एक समर्पित प्रशंसक हूँ जो सिर्फ़ छोटे हाउस एज वाले खेलों पर ही दांव लगाता हूँ।
मुझे नेवादा गेमिंग कंट्रोल बोर्ड की वेबसाइट पर यह देखकर आश्चर्य हुआ कि 2003 में बैकारेट के लिए राज्यव्यापी कैसीनो जीत प्रतिशत 19.62% था, जबकि मिनी बैकारेट के लिए कैसीनो ने 13.81% ही रखा। अगर दोनों खेलों का हाउस एज एक जैसा है, तो इतना अंतर क्यों? तुलनात्मक रूप से, निकेल स्लॉट्स (जिनका हाउस एज कम माना जाता है) ने राज्यव्यापी केवल 7.89% ही रखा! स्लॉट मशीनें (जिनका हाउस एज ज़्यादा होता है) टेबल गेम्स (जिनका हाउस एज कम होता है) की तुलना में कम पैसा क्यों रखती हैं?
आपके दयालु शब्दों के लिए धन्यवाद। आप इस बारे में भ्रमित होने वाले अकेले व्यक्ति नहीं हैं। कारण यह है कि आप हाउस एडवांटेज की तुलना होल्ड से कर रहे हैं। हाउस एडवांटेज वह प्रतिशत है जो आप प्रत्येक डॉलर के दांव पर औसतन खोएँगे। होल्ड, कैसीनो द्वारा जीती गई धनराशि और खरीदे गए चिप्स का अनुपात है। यह हाउस एज से कहीं अधिक होगा क्योंकि टेबल गेम्स में खिलाड़ी कुछ समय के लिए उन्हीं चिप्स के बीच घूमते रहते हैं। तो बैकारेट का आंकड़ा बता रहा है कि बैकारेट में बॉक्स में डाले गए सभी पैसों में से कैसीनो ने 19.62% जीता और खिलाड़ियों को शेष 80.38% वापस कर दिया। वहीं, निकल स्लॉट का आंकड़ा बता रहा है कि कुल दांव राशि में से कैसीनो ने 7.89% अपने पास रखा और खिलाड़ियों को 92.11% वापस कर दिया। संक्षेप में, आप सेब और संतरे की तुलना कर रहे हैं।
सबसे पहले, मैं उस साइट के लिए बहुत-बहुत धन्यवाद कहना चाहता हूँ जिसे मैं वेब पर सबसे बेहतरीन जुआ-संबंधी साइट मानता हूँ। मैं फॉक्सवुड्स का नियमित खिलाड़ी हूँ और ज़्यादातर ब्लैक जैक, क्रेप्स और कुछ वीडियो पोकर खेलता हूँ। हालाँकि, जब मैं आपके हाउस एज चार्ट को देखता हूँ, तो मुझे पता चलता है कि कैच अ वेव का एज क्रेप्स और यहाँ तक कि बैकारेट से भी कम है। इससे मुझे आश्चर्य होता है कि मैं केवल $5.00 वाले दांव लगाने वालों को ही वेव खेलते हुए क्यों देखता हूँ। मुझे लगता है कि यह बड़े दांव लगाने वालों के लिए एक बेहतरीन खेल होगा। क्या मैं कुछ भूल रहा हूँ?
शुक्रिया। मेरी साइट जितनी अच्छी है, मुझे शक है कि 1000 में से एक जुआरी ने भी इसे देखा होगा। इसलिए ज़्यादातर खिलाड़ियों को पता ही नहीं है कि अगर सही तरीके से खेला जाए तो कैच अ वेव कितना अच्छा दांव है।
आपकी साइट बहुत अच्छी है! मुझे कैसीनो में जुआ खेलना पसंद है, लेकिन आमतौर पर मैं बहुत कम पैसा (प्रति सत्र $100 से कम) ही खर्च कर पाता हूँ। मेरे पैसे की अवधि बढ़ाने और एक सत्र में जीतने की संभावना बढ़ाने के लिए आप कौन सा खेल सुझाएँगे?
धन्यवाद। जीतने की संभावना और बैंकरोल की बचत, दोनों को ध्यान में रखते हुए, मुझे लगता है कि ब्लैकजैक (जो जीतने में मदद करता है) और पै गो पोकर (जो बैंकरोल की बचत में मदद करता है) में से एक ही चुनना होगा। अगर आपको किसी भी खेल में $5 वाली टेबल मिल जाए, तो मैं ब्लैकजैक चुनूँगा। अगर न्यूनतम राशि $10 है, तो मैं पै गो पोकर चुनूँगा।
टिप देने के शिष्टाचार पर मेरे कुछ प्रश्न हैं...
ब्लैकजैक: क्या मैं दोगुना कर सकता हूँ, विभाजित कर सकता हूँ या डीलर के लिए बीमा ले सकता हूँ?
कैरेबियन स्टड पोकर: क्या मैं डीलर के लिए भी रेज कर सकता हूं (या मुझे ऐसा करना होगा)?
लेट इट राइड पोकर: क्या मैं डीलर के लिए एक से अधिक दांव लगा सकता हूं (यदि मैं अपने किसी दांव को वापस लेने का निर्णय लेता हूं और कोई टिप होती है तो क्या होगा)?
क्रेप्स: क्या मैं हर जगह टिप खेल सकता हूं जहां मैं खेल सकता हूं (ऑड्स और प्रॉप्स शामिल हैं)?
रूलेट: क्या मैं उसके लिए संख्याओं पर खेल सकता हूँ?
एक सामान्य नियम के रूप में, आप किसी भी खेल में डीलर के लिए कोई भी दांव लगा सकते हैं। आमतौर पर आपको डीलर को बताना चाहिए कि कौन सा दांव उसका है, ब्लैकजैक को छोड़कर, जहाँ यह आम बात है कि सट्टेबाज़ी के दायरे से बाहर का कोई भी दांव डीलर के लिए होता है।
ब्लैकजैक: तीनों के लिए हाँ। ब्लैकजैक में डीलर के लिए दांव लगाने का सामान्य तरीका यह है कि आप दांव के घेरे के किनारे पर टिप लगाएँ। अगर आप विभाजित या दोगुना करते हैं, तो ज़्यादातर लोग डीलर के दांव को भी विभाजित या दोगुना कर देते हैं, हालाँकि यह ज़रूरी नहीं है।
कैरेबियन स्टड पोकर: मैंने एक डीलर से पूछा और उसने बताया कि डीलर के लिए रेज करना वैकल्पिक है। मैंने इस बारे में ज़्यादा नहीं पढ़ा है, लेकिन मुझे लगता है कि इससे टिप को फ़ायदा होगा।
लेट इट राइड: मुझे बताया गया है कि खिलाड़ी को शुरुआत में तीन टिप्स देने चाहिए, लेकिन उन्हें उसी तरह वापस लेना चाहिए जैसे वे अपनी बाजी वापस लेते हैं। वापस लिए गए बाजी डीलर को नहीं, बल्कि खिलाड़ी को मिलते हैं।
क्रेप्स: हाँ, आप डीलर के लिए कोई भी दांव लगा सकते हैं। सबसे आम दांव यो-11 और हार्ड तरीके हैं। अगर आप डीलर के लिए लाइन बेट लगाते हैं और उसे ऑड्स के साथ जोड़ते हैं, तो इसका मतलब है कि ऑड्स भी एक टिप हैं।
रूलेट: क्रेप्स की तरह आप डीलर के लिए कोई भी दांव लगा सकते हैं। बस उन्हें पहले ही बता दें।
टेबल गेम खेलने वाले खिलाड़ी को पुरस्कार कैसे मिलता है?
सबसे पहले प्लेयर्स क्लब डेस्क से एक प्लेयर कार्ड लें, बिल्कुल वैसा ही जैसा स्लॉट मशीनों में होता है। फिर जब आप टेबल पर बैठकर खेलें, तो चिप्स खरीदते समय अपना प्लेयर कार्ड निकालकर डीलर को दे दें। डीलर पिट बॉस को बता देगा कि आपके पास प्लेयर कार्ड है और वह आपके औसत दांव, खेल की अवधि और कभी-कभी आपके कौशल स्तर के आधार पर आपको रेटिंग देना शुरू कर देगा।
लास वेगास के ज़्यादातर कैसिनो में, जहाँ मैंने खेला है, कमरा मुफ़्त पाने के लिए रोज़ाना 4 घंटे ब्लैकजैक पर $100 का दांव लगाना ज़रूरी होता है। मैंने हिसाब लगाया है कि अगर मैं बेसिक स्ट्रैटेजी खेलता हूँ, तो S17, RSA, DOA, LSR के साथ 100 हाथ प्रति घंटे मानकर खेलने पर मुझे प्रतिदिन $120 का नुकसान हो रहा है। क्या कोई और ऐसा खेल है जिसे खेलकर मैं कम हारूँगा? मुझे मुख्य रूप से पै गौ के खर्च की चिंता है, अगर मैं रोज़ाना 4 घंटे $100 प्रति हाथ खेलकर कभी पैसा नहीं कमा पाता। हालाँकि, मुझे लगा कि शायद आपको कोई और खेल पता हो जो मेरे लिए और भी सस्ता होगा।
कॉम्प्स के मामले में सामान्य नियम यह है कि कैसीनो कुछ प्रतिशत, आमतौर पर एक-तिहाई, वापस देते हैं। इसलिए अगर आपका लक्ष्य कम से कम अपेक्षित नुकसान के साथ रूम हासिल करना है, तो आपको वही गेम खेलना चाहिए जिसमें हाउस एज सबसे कम हो। आप पाई गो या पाई गो पोकर खेलकर शायद वह रूम तेज़ी से और कम बैंकरोल अस्थिरता के साथ जीत लेंगे। हालाँकि, हाउस एज ज़्यादा है, इसलिए आपका अपेक्षित नुकसान ब्लैकजैक से ज़्यादा होगा। मेरी राय में, आपको वही खेलना चाहिए जो आप कॉम्प्स न होने पर खेलते। फिर कॉम्प्स को सोने पर सुहागा समझें।
किसी भी टेबल गेम पर स्प्रेड कैसे निर्धारित किया जाता है? उदाहरण के लिए, $5 न्यूनतम ब्लैकजैक टेबल पर $200 अधिकतम स्प्रेड हो सकता है, ऐसा क्यों?
कैसीनो अपने सट्टेबाजों को उनकी शर्त के अनुसार एक समूह में बाँटना पसंद करते हैं। इसका एक कारण यह है कि उच्च सीमा वाली टेबलों पर कम खिलाड़ी होते हैं, इसलिए बड़े सट्टेबाजों को प्रति घंटे ज़्यादा दांव मिलते हैं। दूसरा कारण यह है कि खिलाड़ियों को समान दांव लगाने वाले अन्य खिलाड़ियों के आसपास रहना पसंद होता है। अगर कोई खिलाड़ी $5 वाली टेबल पर $1000 का दांव लगाना चाहता है, तो इससे उस टेबल पर बैठे अन्य $5 खिलाड़ी घबरा सकते हैं या असहज महसूस कर सकते हैं। तीसरा कारण यह है कि यह धोखाधड़ी से बचाव का एक उपाय है।
क्या आप सभी टेबल गेम्स में रणनीति कार्ड का उपयोग कर सकते हैं?
हाँ। मैंने कभी नहीं सुना कि किसी खिलाड़ी को इसका इस्तेमाल करने से मना कर दिया गया हो।
मैं आपकी साइट पढ़ रहा था और टिपिंग वाला सेक्शन ब्राउज़ कर रहा था, और कुछ टिप्पणियाँ साझा करने के लिए मिलीं। मैंने हमेशा पाया है कि अपनी बाजी के ऊपर टिप लगाना और डीलर को तब तक "मेरे साथ खेलते" रहना चाहिए जब तक मैं हार न जाऊँ। आमतौर पर आप जीतते समय टिप देते हैं और अगर आपकी जीत का सिलसिला लंबे समय तक चलता रहे, तो डीलर के लिए $1 की टिप बहुत बड़ी रकम बन सकती है। बस यह सुनिश्चित कर लें कि डीलर को पता हो कि आपकी बाजी के ऊपर रखी अतिरिक्त चिप उनके लिए है! सभी खेलों की बेहतरीन जानकारी के लिए धन्यवाद!
मैंने ऐसा पहले भी होते देखा है और मैं मानता हूँ कि कुछ डीलरों को यह पसंद आता है। हालाँकि, मेरी राय में ज़्यादातर डीलरों को इसकी परवाह नहीं होती क्योंकि टिप्स सभी डीलरों के बीच बाँट दी जाती हैं। 18 साल से ब्लैकजैक खेल रहा हूँ, मैंने सिर्फ़ एक बार किसी डीलर को खिलाड़ी से ऐसा करने के लिए कहते देखा है।
[ब्लूजे आगे कहते हैं: मैं हमेशा डीलरों से पूछता हूँ कि उन्हें कौन सा तरीका पसंद है, क्योंकि कुछ की अपनी अलग पसंद होती है। कुछ को ऊपर लगी चिप पसंद होती है, जबकि कुछ को नापसंद। मुझे डीलरों को विकल्प देना अच्छा लगता है, क्योंकि सिर्फ़ पूछकर ही मैं उनके साथ एक छोटा-सा रिश्ता बना लेता हूँ, यह दिखाते हुए कि मैं उनकी भावनाओं का लिहाज़ कर रहा हूँ।]
मैंने आपका लेख "नए कैसीनो गेम्स का विपणन" पढ़ा, और मैं थोड़ा निराश हूँ क्योंकि मैंने अभी-अभी एक नया गेम ईजाद किया है और मैं असल में उसकी मार्केटिंग करने की सोच रहा हूँ। अपने लेख में आपने बताया था कि नए टेबल गेम्स कैसीनो को लगभग 300 से 500 डॉलर प्रति टेबल प्रति माह किराए पर दिए जाते हैं। मैंने सोचा था कि अगर आप इतने भाग्यशाली हैं कि एक बहुत अच्छा गेम ईजाद कर सकें, तो इस व्यवसाय में बहुत पैसा है। मुझे बताया गया था कि डेरेक वेब, जिसने 3-कार्ड पोकर का आविष्कार किया था, ने इस गेम से लाखों कमाए। क्या यह सच नहीं है?
मैंने सुना है कि थ्री कार्ड पोकर जैसे बेहतरीन खेलों से हर महीने $1,500 से $2,000 तक की कमाई हो सकती है। मुझे ठीक-ठीक नहीं पता कि वेब ने कितना कमाया, लेकिन जो भी कमाया, उसका एक बड़ा हिस्सा उसे खेल के बचाव में वकीलों की फीस पर खर्च करना पड़ा। प्लेबॉय के अगस्त 2004 के अंक में वेब और थ्री कार्ड पोकर के बारे में एक लेख छपा है।
मुझे पता है कि ब्लैकजैक और क्रेप्स जैसे खेलों में प्रति घंटे के फैसले टेबल पर मौजूद दूसरे खिलाड़ियों की संख्या, हैंड शफल बनाम मशीन शफल, शूटर और डीलर की गति जैसे कारकों पर बहुत हद तक निर्भर कर सकते हैं। फिर भी, मैं जानना चाहता था कि क्या आप मुझे एक मोटा अनुमान दे सकते हैं कि एक व्यक्ति लगभग पूरी तरह से भरी हुई क्रेप्स टेबल और एक ब्लैकजैक टेबल पर, जहाँ हैंड शफल और मशीन शफल दोनों होते हैं, प्रति घंटे कितने फैसलों की उम्मीद कर सकता है। इससे मुझे प्रति घंटे अपने अपेक्षित नुकसान का अनुमान लगाने और मुझे दिए जा रहे प्रतिद्वंद्वियों के साथ उसका मूल्यांकन करने में मदद मिलेगी।
निम्नलिखित तालिकाएँ ब्लैकजैक, क्रेप्स और रूलेट में प्रति घंटे हाथों/टॉस की संख्या दर्शाती हैं। इन तालिकाओं का स्रोत जिम किल्बी द्वारा लिखित कैसीनो ऑपरेशंस मैनेजमेंट है।
ब्लैकजैक में प्रति घंटा हाथ
| खिलाड़ी | प्रति घंटा हाथ |
| 1 | 209 |
| 2 | 139 |
| 3 | 105 |
| 4 | 84 |
| 5 | 70 |
| 6 | 60 |
| 7 | 52 |
क्रेप्स में प्रति घंटे रोल
| खिलाड़ी | प्रति घंटे रोल |
| 1 | 249 |
| 3 | 216 |
| 5 | 144 |
| 7 | 135 |
| 9 | 123 |
| 11 | 102 |
क्रेप्स में कुल रोल्स का औसतन 29.6% रोल्स आउट होते हैं।
रूलेट में प्रति घंटे स्पिन
| खिलाड़ी | प्रति घंटे स्पिन |
| 1 | 112 |
| 2 | 76 |
| 3 | 60 |
| 4 | 55 |
| 5 | 48 |
| 6 | 35 |
मैंने आपकी साइट देखी है और नेवादा और मिसिसिपी में ऐसे कैसीनो ढूंढ रहा हूँ जहाँ हर टेबल गेम के लिए सबसे अच्छा भुगतान कार्यक्रम हो (मुझे 3 कार्ड पोकर ज़्यादा पसंद है)। क्या आपके पास कोई सूची या लिंक है जो "सबसे ढीले टेबल गेम" वाले कैसीनो दिखाता हो?
मैंने इस बारे में कई बार सोचा है, लेकिन हमेशा इस विचार को खारिज कर दिया है क्योंकि इसे अपडेट रखना बहुत महंगा पड़ेगा। मुझे पता है कि लॉफलिन के पायनियर में पेयरप्लस इन थ्री कार्ड पोकर में उनके पास 1/4/6/30/40 का पूरा भुगतान टेबल है। कम से कम जब मैं कुछ महीने पहले वहाँ गया था, तो उनके पास तो था। जहाँ तक मुझे पता है, वेगास का हर कैसीनो 1/3/6/30/40 के कम भुगतान टेबल का पालन करता है।
कैसीनो अपने लेआउट के लिए मुख्यतः हरे रंग के फेल्ट का ही इस्तेमाल क्यों करते हैं? क्या इस पर कोई अध्ययन हुआ है और अगर हाँ, तो मैं उसके नतीजे कहाँ देख सकता हूँ?
मैंने "आस्क बार्नी: एन इनसाइडर्स गाइड टू लास वेगास" के लेखक बार्नी विंसन से यह सवाल पूछा। उन्होंने अनुमान लगाया कि यह अवैध जुए के दिनों से चली आ रही परंपरा है, लेकिन उन्हें यह नहीं पता था कि अवैध टेबलों पर हरे रंग का फेल्ट क्यों इस्तेमाल किया जाता है। यह सिर्फ़ एक सिद्धांत है, लेकिन मेरा मानना है कि ऐसा इसलिए है क्योंकि पूल टेबल का फेल्ट आमतौर पर हरा होता है। जुए की टेबल बनाने वालों को शायद पूल टेबल की बहुतायत के कारण हरे रंग का फेल्ट सबसे ज़्यादा मिलता था। लेकिन इससे यह सवाल उठता है कि पूल टेबलों पर हरे रंग का फेल्ट क्यों इस्तेमाल होता है? मैंने थोड़ी खोजबीन की और यह स्पष्टीकरण मिला:
बिलियर्ड्स का इतिहास बहुत पुराना और समृद्ध है। यह खेल राजाओं, आम लोगों, राष्ट्रपतियों, मानसिक रोगियों, महिलाओं, सज्जनों और धोखेबाज़ों, सभी ने समान रूप से खेला है। यह क्रोकेट जैसे एक लॉन गेम से विकसित हुआ है, जो 15वीं शताब्दी में उत्तरी यूरोप और संभवतः फ़्रांस में खेला जाता था। खेल की शुरुआत घर के अंदर एक लकड़ी की मेज पर हुई, जिस पर घास की नकल करने के लिए हरा कपड़ा बिछाया गया था, और किनारों पर एक साधारण किनारा लगाया गया था। - डॉलीज़ प्रो शॉप
टीवी पर लास वेगास में क्या करें और क्या न करें नामक एक कार्यक्रम चल रहा था। इस कार्यक्रम में बताया गया था कि ब्लैकजैक खेलने और जीतने पर आपको टैक्स नहीं देना पड़ेगा? मुझे इस पर यकीन नहीं हो रहा।
जुए में हुई किसी भी जीत पर आपको कर देना होगा। हालाँकि, टेबल गेम खेलने वाले मूलतः ऑनर सिस्टम पर निर्भर होते हैं। एक अपवाद यह है कि अगर जीत 300 के ऑड्स पर 1 या उससे ज़्यादा हो और $600 से ज़्यादा हो, तो W2G फ़ॉर्म जनरेट होता है। यह आमतौर पर केवल प्रोग्रेसिव जैकपॉट के साथ ही होता है। इसके अलावा, अगर $10,000 या उससे ज़्यादा का नकद लेन-देन होता है, तो कैसीनो को एक CTR भरना ज़रूरी होता है, जिसका मतलब है कैश ट्रांजेक्शन रिपोर्ट। फिर भी, इनमें चिंता की कोई बात नहीं है, और मुझे लगता है कि कई बड़े सट्टेबाज़ इन्हें लेकर बहुत ज़्यादा चिंतित रहते हैं।
स्लॉट्स/वीपी और नए टेबल गेम्स (3 कार्ड पोकर, लेट इट राइड, कैरिबियन स्टड, आदि) की लोकप्रियता में निरंतर वृद्धि के साथ, क्या किसी (प्रमुख) कैसीनो ने "क्लासिक" टेबल गेम्स (ब्लैकजैक, रूलेट, क्रेप्स, आदि) की पेशकश बंद कर दी है?
दिलचस्प बात यह है कि वेगास के कैसीनो रोयाल में एक भी वैध ब्लैकजैक गेम नहीं है। मुझे लगता है कि उनके पास चार ब्लैकजैक स्विच गेम और एक 6 से 5 वाला गेम है। उनके पास क्रेप्स और रूलेट भी हैं।
मेरे पास मोहेगन सन का एक मुफ़्त बेट कूपन है, जिसका इस्तेमाल बैकारेट, सिक बो या बिग सिक्स पर किया जा सकता है। अगर मैं जीतता हूँ तो मुझे जीत की रकम मिल जाती है, लेकिन जीत या हार, मुझे कूपन छोड़ना होगा। इनमें से हर खेल में इसका इस्तेमाल करने के लिए सबसे अच्छा दांव कौन सा है?
आम तौर पर, आप इसे एक लंबे शॉट पर लगाना चाहते हैं। ऐसा इसलिए है क्योंकि आपको जीत पर कूपन नहीं मिलता, जिससे जीतने की संभावना के हिसाब से मूल्य कम हो जाता है। जीतने की संभावना जितनी कम होगी, मूल्य उतना ही कम होगा। नीचे सूचीबद्ध तीन खेलों के लिए तीन तालिकाएँ दी गई हैं। आप देखेंगे कि सिक बो में 12, 30, 60, ट्रिपल और किसी भी ट्रिपल के बीच सबसे अच्छा दांव टाई है।
बैकारेट में मुफ़्त बेट कूपन का मूल्य
| शर्त | भुगतान करता है | संभावना | वापस करना |
| बैंकर जीतता है | 0.95 | 0.458597 | 0.481484 |
| खिलाड़ी जीतता है | 1 | 0.446247 | 0.493175 |
| बाँधना | 8 | 0.095156 | 0.761248 |
बिग सिक्स में मुफ़्त बेट कूपन का मूल्य
| शर्त | भुगतान करता है | संभावना | वापस करना |
| 1 | 1 | 0.444444 | 0.444444 |
| 2 | 2 | 0.277778 | 0.555556 |
| 5 | 5 | 0.12963 | 0.648148 |
| 10 | 10 | 0.074074 | 0.740741 |
| 20 | 20 | 0.037037 | 0.740741 |
| जोकर | 40 | 0.018519 | 0.740741 |
| प्रतीक चिन्ह | 40 | 0.018519 | 0.740741 |
सिक बो में मुफ़्त बेट कूपन मूल्य
| शर्त | भुगतान करता है | संभावना | वापस करना |
| छोटे बड़े | 1 | 0.486111 | 0.486111 |
| 4, 17 | 60 | 0.013889 | 0.833333 |
| 5, 16 | 30 | 0.027778 | 0.833333 |
| 6, 15 | 17 | 0.046296 | 0.787037 |
| 7, 14 | 12 | 0.069444 | 0.833333 |
| 8, 13 | 8 | 0.097222 | 0.777778 |
| 9, 12 | 6 | 0.115741 | 0.694444 |
| 10, 11 | 6 | 0.125 | 0.75 |
| ट्रिपल | 180 | 0.00463 | 0.833333 |
| कोई भी ट्रिपल | 30 | 0.027778 | 0.833333 |
| दोहरा | 10 | 0.074074 | 0.740741 |
मैं और मेरे दोस्त लास वेगास की वीकेंड ट्रिप प्लान कर रहे हैं। एक कॉलेज स्टूडेंट होने के नाते, मैंने तय किया है कि मैं ज़्यादा से ज़्यादा 500 डॉलर (जुआ खेलते समय सीमा तय करने का सबसे अच्छा तरीका) हार सकता हूँ। मैं जानना चाहता था कि आपके हिसाब से मुझे कौन से खेल खेलने चाहिए? कितने दांव लगाने चाहिए? आप मुझे थोड़ा जोखिम उठाने वाला कह सकते हैं, क्योंकि मैं डरहम में बहुत सारा पैसा लेकर लौटना चाहता हूँ और मैं मानसिक रूप से सब कुछ हारने के लिए तैयार हूँ। बहुत-बहुत शुक्रिया, आपकी वेबसाइट बहुत बढ़िया है।
आपके स्नेहपूर्ण शब्दों के लिए धन्यवाद। तीन खेल जहाँ आप 0.5% से कम हाउस एज प्राप्त कर सकते हैं, वे हैं ब्लैकजैक, क्रेप्स और वीडियो पोकर। इन तीनों में से मैं ब्लैकजैक की सलाह दूँगा। मैं प्रति हाथ $10 का दांव लगाना शुरू करूँगा। शुरुआत में सावधानी से खेलने से आप जल्दी दिवालिया नहीं होंगे और आपको अपने दोस्तों से उधार माँगना नहीं पड़ेगा। मान लीजिए कि आप अपना बैंकरोल दोगुना करना चाहते हैं या कोशिश करते-करते दिवालिया हो जाते हैं, तो जैसे-जैसे आपकी यात्रा समाप्त होने वाली है, अपने दांव लगाते जाएँ। खेलने से पहले बुनियादी रणनीति याद कर लें और 0.4% से ज़्यादा हाउस एज स्वीकार न करें।
हे जादूगर - मुझे यह साइट बहुत पसंद है! मैं और मेरी पत्नी अभी-अभी वेगास से लौटे हैं, और मैंने देखा कि स्ट्रिप पर 6:5 ब्लैकजैक गेम्स की भरमार है। आपकी साइट और आपके द्वारा लिखे या लिंक किए गए अनगिनत लेखों की बदौलत, हम इन खेलों से पूरी तरह बच पाए। हालाँकि, मैंने देखा कि इनमें से ज़्यादातर टेबल लगभग पूरी क्षमता पर थीं, और मैं सोच रहा हूँ कि आपको क्या लगता है कि 'अज्ञानी जनता' को इस छोटे से नियम परिवर्तन के बारे में सुनने में कितना समय लगेगा? पहली नज़र में, यह उस 'पिच गेम' जैसा लगता है जो मुझे और मेरी पत्नी को बहुत पसंद है (और पहले सिर्फ़ शहर के बीचों-बीच ही मिल पाता था) और मुझे लगता है कि बहुत से लोगों को इस बात का एहसास ही नहीं है कि वे कितना फायदा गँवा रहे हैं। अगर हमने आपकी साइट नहीं पढ़ी होती, तो शायद हम सोचते कि कैसीनो ग्राहकों की पिच गेम्स की माँग पर प्रतिक्रिया दे रहे हैं। शानदार काम करते रहिए।
धन्यवाद। मेरी भविष्यवाणी के अनुसार, 6 से 5 खेलों का अनुपात बढ़ता ही जाएगा। आप यही सवाल कई खेलों के बारे में पूछ सकते हैं। लोग 8/5 जैक या उससे बेहतर वीडियो पोकर क्यों खेलते हैं, जबकि दूसरी तरफ 9/6 का खेल होता है? लोग डबल ज़ीरो रूलेट क्यों खेलते हैं, जबकि उसी कैसीनो में सिंगल ज़ीरो होता है? लोग पास लाइन पर न्यूनतम से ज़्यादा दांव क्यों लगाते हैं, लेकिन क्रेप्स में पूरी ऑड्स क्यों नहीं लेते? माना कि कभी-कभी खेल की सीमाएँ एक मुद्दा होती हैं, लेकिन आप लोगों को हर समय मूर्खतापूर्ण तरीके से बड़ी रकम दांव पर लगाते हुए देखते हैं। मेरा अपना अनुमान है कि ऑड्स के बारे में थोड़ा पढ़ने की तुलना में भाग्य और अंधविश्वास पर विश्वास करना ज़्यादा आसान है।
"शासकों का क्या सौभाग्य है कि लोग सोचते नहीं।" - एडोल्फ हिटलर
मैं बस यह जानना चाहता था कि क्या आपको पता है कि वेगास में ज़्यादातर कैसीनो अपनी क्रेप्स टेबल कहाँ से खरीदते हैं। और क्या ये कंपनियाँ अपनी टेबल जनता को बेचती हैं?
गेमिंग टेबल के दो आपूर्तिकर्ता, जिन्हें मैं जानता हूँ, टीसीएस जॉन हक्सले और मिडवेस्ट गेम सप्लाई हैं। वे शायद आम जनता को बेचते हैं। मिडवेस्ट गेम सप्लाई में एक क्रेप्स टेबल की कीमत $3,950 है। अगर एक पुरानी टेबल पर्याप्त होगी, तो गैम्बलर्स जनरल स्टोर पुरानी टेबल बेचता है।
एक कैसीनो संचालक के दृष्टिकोण से, टेबल पर न्यूनतम और अधिकतम दांव लगाते समय किन कारकों पर विचार किया जाना चाहिए? बिना किसी बड़े उतार-चढ़ाव के, एक समान फैलाव कैसे बनाया जाता है? क्या कोई 'सामान्य नियम' है, यानी न्यूनतम दांव का 10 गुना?
मैंने यह सवाल कसीनो मैनेजर "ब्रेन" से पूछा। उन्होंने क्या कहा, यहाँ पढ़िए।
टेबल मिनिमम मूलतः वह मूल्य बिंदु है जिस पर हम गेम "बेच" सकते हैं। ये मूल्य, होटल में ग्राहकों की संख्या, होटल में रहने वालों की संख्या, व्यक्तिगत ग्राहकों की ज़रूरतों आदि के आधार पर बदलते रहते हैं। हम अपनी अधिकतम सीमा के लिए 10 गुना का गुणक इस्तेमाल करते हैं ताकि हम बड़े दांव के उतार-चढ़ाव या काउंटर से बच सकें।
हमें मेहमानों से ऐसी शिकायतें मिलती हैं: आप इस ब्लैकजैक टेबल की न्यूनतम राशि $5 क्यों नहीं कर देते? उन्हें समझ नहीं आता कि कैसीनो के लिए एक $10 का खिलाड़ी दो $5 के खिलाड़ियों से ज़्यादा कीमती है। या कि एक $25 का खिलाड़ी तीन $10 के खिलाड़ियों से ज़्यादा कीमती है।
ज़्यादातर कैसिनो समय-समय पर (जैसे, हर घंटे) खिलाड़ियों की संख्या गिनकर और उसकी तुलना उपलब्ध स्थानों की संख्या से करके क्षमता की निगरानी करते हैं। यह मुश्किल है क्योंकि एक वास्तविक क्षमता (एक टेबल पर कुल स्थानों की संख्या) होती है और मैं इसे आरामदायक क्षमता मानता हूँ, यानी एक टेबल पर कितने लोग आराम से बैठ सकते हैं। जब तक कोई विकल्प उपलब्ध न हो, ज़्यादातर लोग एक या दो खाली स्थानों वाली टेबल पर खेलना पसंद करते हैं ताकि उन्हें आराम से खेलने की जगह मिले और कोहनी न रगड़नी पड़े।
क्षमता के आधार पर, शाम के दौरान किसी भी समय हम अपनी टेबल सीमा को कम या बढ़ा सकते हैं।
मेरा निजी सिद्धांत है कि प्रवेश द्वारों और ज़्यादा भीड़-भाड़ वाले इलाकों के पास कम सीमा वाली टेबलें रखी जाएँ ताकि लगे कि हम ज़्यादा व्यस्त हैं। मैं खेल के दौरान किसी टेबल पर शायद ही कभी न्यूनतम सीमा बढ़ाता हूँ, लेकिन उसे कम कर सकता हूँ। अगर मैं न्यूनतम सीमा बढ़ाता भी हूँ, तो मैं हमेशा बैठे हुए खिलाड़ियों को "ग्रैंडफादर" कर देता हूँ।
ब्रायन ने अधिकतम और न्यूनतम दांव के अनुपात पर ज़्यादा बात नहीं की, लेकिन ऐसा ही एक सवाल पहले भी पूछा गया था। मैंने उस समय लास वेगास के एक बड़े कैसीनो के एक अधिकारी से इस बारे में पूछा था और उन्होंने बताया कि वे अपने बड़े दांव लगाने वालों को उच्च सीमा वाले क्षेत्रों में ही सीमित रखना पसंद करते हैं।
टेबल गेम की जीत कब कर योग्य हो जाती है?
अमेरिका में, किसी भी प्रकार की और किसी भी राशि की जुए की जीत पर कर लगता है। हालाँकि, टेबल गेम्स में, रिपोर्ट करना सम्मान प्रणाली पर निर्भर करता है।
क्या आपको लगता है कि कोई भी खिलाड़ी कैलिफोर्निया के खेलों में लंबे समय तक इस संभावना को हरा सकता है कि प्रत्येक बैठे हुए खिलाड़ी को प्रत्येक राउंड में एक बार बैंक में पैसा लगाने का समान अवसर मिले, बशर्ते कि खिलाड़ियों को प्रत्येक हाथ में घर को 1 डॉलर का भुगतान करना पड़े?
हाँ और नहीं। इन खेलों में आमतौर पर बैंकर को फायदा होता है, इसलिए अगर आप हर मौके पर इसका फायदा उठाएँ, तो आपको लंबे समय तक फायदा होगा। हालाँकि, कैसीनो और बैंकिंग संगठनों के बीच इस बात पर सहमति है कि आम खिलाड़ियों को ऐसा ज़्यादा नहीं करना चाहिए, मानो यह कोई व्यवसाय हो, न कि मनोरंजन के लिए जुआ खेलना।
ऐसा क्यों है कि क्रेप्स टेबल पर डीलर आपके चिप स्टैक को रंगने से कतराते हैं, जब तक कि आप टेबल से उठकर न जा रहे हों? हालाँकि मैंने कभी किसी डीलर को ऐसा करने से साफ़ मना करते नहीं देखा, फिर भी वे अक्सर अनिच्छा से कोई समझदारी भरी या व्यंग्यात्मक टिप्पणी करके मान जाते हैं, मानो मैं उनसे बहुत ज़्यादा माँग रहा हूँ।
यह सिर्फ़ क्रेप्स ही नहीं, बल्कि सभी टेबल गेम्स के लिए सच है। रंग भरने के ख़िलाफ़ नीति, खेल छोड़ने के अलावा, प्रबंधन की ओर से है, इसलिए डीलरों को दोष न दें। एक अच्छे डीलर से अपेक्षा की जाती है कि वह खिलाड़ी को उस स्तर के चिप्स से पूरी तरह लैस रखे जिस पर वह दांव लगा रहा है। रंग भरना इस उद्देश्य के विरुद्ध है। इससे चिप्स की कमी हो जाएगी, जिससे खिलाड़ी बड़ी चिप्स तोड़ने के लिए कहेगा, जिससे समय की बर्बादी होगी। इसका एक अघोषित उद्देश्य यह भी हो सकता है कि खिलाड़ी बड़ी चिप पर दांव लगाने की संभावना कम ही रखे।
सड़क पर चलने वाला कोई व्यक्ति बड़े हाई रोलर लाउंज में कितनी ऊंची बाजी लगा सकता है?
लास वेगास के कैसीनो आश्चर्यजनक रूप से जोखिम से बचते हैं; वे बड़े दांव लगाना पसंद नहीं करते। सड़क पर रहने वाले ग्राहकों के लिए, एक अच्छा कैसीनो आमतौर पर बैकारेट में खिलाड़ी या बैंकर पर $150,000 का सबसे बड़ा दांव लगाता है। अन्य पारंपरिक टेबल गेम्स में, सीमा आमतौर पर $10,000 होती है। परिचित ग्राहकों के अनुरोध पर सीमा बढ़ाई जा सकती है।
यह प्रश्न मेरी सहयोगी साइट विज़ार्ड ऑफ़ वेगास के फोरम में उठाया गया और इस पर चर्चा की गई।
इस विषय पर, मैं बैकगैमौन में कौशल का आकलन करने का प्रयास करना चाहूँगा। विचार के लिए, दो अच्छे खिलाड़ी लें, लेकिन उनमें से एक दूसरे से केवल 1% बेहतर है (इसे तथ्य और सटीक आँकड़ा मानें)। तो, सांख्यिकीय रूप से, 1000 मैच खेलों में से खिलाड़ी A को 505 और खिलाड़ी B को 495 जीतने चाहिए।
मेरा दोहरा प्रश्न है:
- खिलाड़ी A को खिलाड़ी B के विरुद्ध न्यूनतम कितने मैच खेलने चाहिए ताकि कुल मिलाकर विजेता बनने का 90% निश्चितता हो?
- मैच गेम की न्यूनतम संख्या क्या है, जहां एक मैच में पांच गेम जीतने वाला पहला खिलाड़ी होता है, जिसे खिलाड़ी ए को खिलाड़ी बी के खिलाफ खेलना चाहिए ताकि कुल मिलाकर विजेता के रूप में बाहर आने के लिए 99% सुनिश्चित हो सके?
इसके पीछे की कहानी यह है कि कई बैकगैमौन खिलाड़ियों (जिनमें मैं भी शामिल हूँ) को "लंबी दौड़" का असली मतलब ही नहीं पता। आम तौर पर यही माना जाता है कि बेहतर खिलाड़ी भाग्य के फेर में फँस जाएगा और लंबी दौड़ में जीत जाएगा। ठीक है, लेकिन जब स्तर इतना नज़दीक हो?
मैं इस 1% को पक्षपातपूर्ण सिक्के के उछाल की तरह देखूंगा, लेकिन वास्तव में इसका उत्तर नहीं जानता।
मैं दोहरीकरण घन को नजरअंदाज कर रहा हूं और यह मान रहा हूं कि प्रत्येक खेल का परिणाम साधारण जीत या हार ही होगा।
ऐसा कहा जाता है कि, यदि प्रत्येक खेल को एक अंक माना जाए, तो यह सुनिश्चित करने के लिए कि आपके पास उनमें से आधे से अधिक जीतने की 90% संभावना है, 16,221 खेलों की आवश्यकता होगी, यह मानते हुए कि प्रत्येक खेल को जीतने की संभावना 50.5% है।
प्रत्येक गेम जीतने की 50.5% संभावना के साथ, मैं एक मैच जीतने की 51.23% संभावना दिखाता हूँ। उनमें से आधे से ज़्यादा जीतने की 90% संभावना पाने के लिए आपको 8,853 मैच खेलने होंगे।
इन उत्तरों को द्विपद वितरण या गौसियन वक्र सन्निकटन का उपयोग करके पाया जा सकता है।
यह प्रश्न विज़ार्ड ऑफ़ वेगास में मेरे मंच पर उठाया गया है और इस पर चर्चा की गई है।
वाइटल वेगास ने एक खिलाड़ी को $1.1 मिलियन के जैकपॉट पर सिर्फ़ $200 की टिप देने के लिए फटकार लगाई है। ऐसी स्थिति में टिप देने का उचित शिष्टाचार क्या है?
हां, जहां वे खिलाड़ी को छोटी टिप के लिए फटकार लगाते हैं, वहीं वे इस सवाल को आसानी से टाल देते हैं कि उचित टिप कितनी होनी चाहिए।
न सिर्फ़ बड़े जैकपॉट के लिए टिप देने का तरीका ठीक से परिभाषित नहीं है, बल्कि छोटे जैकपॉट के लिए भी यह ठीक से परिभाषित नहीं है। इस बारे में अलग-अलग राय हैं, और ज़्यादातर राय ऐसे लोगों की हैं जिन्होंने कभी जैकपॉट नहीं जीता।
सबसे पहले, मैं इस बात पर ज़ोर देना चाहूँगा कि टिप देना वैकल्पिक नहीं है। कसीनो में, जीती गई राशि और सेवा के स्तर के अनुसार, आपको मिलने वाली सेवा के लिए टिप देना अपेक्षित होता है। इस बिंदु पर मिस्टर पिंक बनना और यह तर्क देना आसान है कि उन्हें किसी भी चीज़ के लिए टिप क्यों नहीं देनी चाहिए। टिप देना निश्चित रूप से एक दोषपूर्ण प्रणाली है, लेकिन हमारे यहाँ यही प्रणाली है। अगर आप सहमत नहीं हैं और टिप देने से इनकार करते हैं, तो उस सेवा के लिए न पूछें जिसके लिए टिप देने की अपेक्षा की जाती है।
दूसरा, एक बार यह तय हो जाने के बाद कि खिलाड़ी को जैकपॉट के लिए टिप देनी है, कितनी? मैं इस चर्चा को उस स्थिति तक सीमित रख रहा हूँ जहाँ खिलाड़ी सिर्फ़ एक जैकपॉट जीतता है। अगर खिलाड़ी कई जैकपॉट जीतता है, तो नियम अलग होते हैं, जो कि बहुत ऊँचे दांव पर सामान्य है। याद रखें, जैकपॉट की कागजी कार्रवाई के नियम ये हैं:
- "स्लॉट्स" पर $1,200 या अधिक की जीत।
- केनो में $1,500 या उससे अधिक की जीत।
- एक पोकर टूर्नामेंट में $5,000 या उससे अधिक की जीत।
- टेबल गेम में $600 या उससे अधिक की जीत और कम से कम 300 गुना दांव।
मैं टिप देने की क्या सलाह दूँ? पहले मैंने जैकपॉट का 0.5% से 2% तक कहा था, जैकपॉट जितना बड़ा होगा, प्रतिशत उतना ही कम होगा। हालाँकि, उस समय मैं इतने बड़े जैकपॉट के बारे में नहीं सोच रहा था। मुझे लगता है कि यह सीमा लगभग $100,000 तक उपयुक्त है।
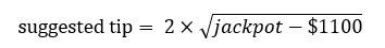
इस सवाल ने मुझे एक खास फॉर्मूला बनाने पर मजबूर कर दिया है, जो मुझे लगता है कि $1200 से लेकर लाखों तक के किसी भी जैकपॉट के लिए उपयुक्त है। ये रहा:

यदि आप छवि नहीं देख पा रहे हैं, तो यह 2×sqrt(जैकपॉट-$1100) है।
यहां कुछ सामान्य जैकपॉट राशियों के लिए सूत्र दिया गया है।
सुझाई गई टिप तालिका
| जैकपोट | बख्शीश |
|---|---|
| $1,200 | $20 |
| $2,000 | $60 |
| $5,000 | $125 |
| $10,000 | $189 |
| $20,000 | $275 |
| $50,000 | $442 |
| $100,000 | $629 |
| $1,000,000 | $1,999 |
$1.1 मिलियन के मामले में, मेरा फ़ॉर्मूला $2,096.57 सुझाता है। मुझे लगता है कि इसे $2,000 तक पूर्णांकित करना ठीक रहेगा। बेशक, सेवा की गुणवत्ता जैसे अन्य कारकों पर भी विचार करें।
यह प्रश्न विज़ार्ड ऑफ़ वेगास में मेरे मंच पर उठाया गया है और इस पर चर्चा की गई है।