जादूगर से पूछो #391
1 2 + 2 2 + 3 2 + ... + एन 2 = ?
[स्पॉइलर=उत्तर]1 2 + 2 2 + 3 2 + ... + एन 2 = एन(एन+1)(2एन+1)/6 [/स्पॉइलर]
मेरा समाधान यहां है (पीडीएफ)
मान लीजिए आप एक निष्पक्ष सिक्के को दस लाख बार उछालते हैं। पाँच बुनियादी अंकगणितीय फलनों (+,0,*,/,^) वाले एक साधारण कैलकुलेटर का उपयोग करके, चित और पट की समान संख्या आने की प्रायिकता क्या है? एक करीबी अनुमान ही पर्याप्त होगा।
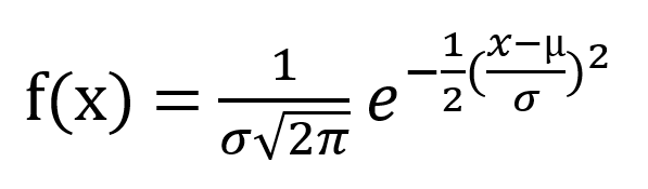
मानक सामान्य वक्र के लिए समीकरण को याद करें:

एक फ़्लिप में अपेक्षित पूँछों की संख्या 0.5 है और अपेक्षित वर्ग पूँछों की संख्या भी 0.5 है। इस प्रकार, एक फ़्लिप में पूँछों की संख्या का प्रसरण 0.5-(0.5) 2 = 0.5 - 0.25 = 0.25 है। एक मिलियन फ़्लिप का प्रसरण 1,000,000 * 0.25 = 250,000 है। एक मिलियन फ़्लिप का मानक विचलन इसका वर्गमूल है: sqrt(250,000) = 5,000।
मान लीजिए x = अपेक्षित संख्या 500,000 पर आने वाली पटों की संख्या। x का माध्य शून्य है। जैसा कि दिखाया गया है, x का मानक विचलन 5,000 है।
x=0 की संभावना इस प्रकार है:

यह सरल हो जाता है 1/(5000*sqrt(2*π)) =~ 0.000797885 =~ 1 in 1253.314137.
[/बिगाड़ने वाला]लिंक
मानक सामान्य वक्र पर विकिपीडिया प्रविष्टि.
आप एक व्यायाम पथ पर 15 मील प्रति घंटे की रफ़्तार से साइकिल चला रहे हैं। पथ पर 5 मील प्रति घंटे की रफ़्तार से जॉगर्स जा रहे हैं। दोनों दिशाओं में बराबर संख्या में जॉगर्स जा रहे हैं। आपके सामने से गुज़रने वाले जॉगर्स का अनुपात आपके विपरीत दिशा में कितने होगा?
मान लीजिए कि रास्ता 15 मील लम्बा है।
साइकिल चालक को ऐसे जॉगर्स का सामना करना पड़ता था जो मेरे जॉगिंग शुरू करने से 3 घंटे पहले से लेकर 1 घंटे बाद तक दूसरी तरफ से जॉगिंग शुरू करते थे, कुल मिलाकर 4 घंटे तक जॉगर्स का सामना करना पड़ता था।
उसी दिशा में जाते हुए, साइकिल चालक को ऐसे जॉगर्स का सामना करना पड़ता जो मुझसे 2 घंटे पहले या उसी समय निकले होते थे, कुल मिलाकर 2 घंटे तक।
इस प्रकार, विपरीत दिशा में जाने वाले जॉगर्स की संख्या दोगुनी होगी। विपरीत दिशा में जाने वाले जॉगर्स और सभी जॉगर्स का अनुपात 4/(2+4) = 2/3 है।
[/बिगाड़ने वाला] [स्पॉइलर=समाधान #2]समान दिशा में जा रहे जॉगर्स के सापेक्ष आपकी गति 15-5 = 10 मील प्रति घंटा है।
विपरीत दिशा में जा रहे जॉगर्स के सापेक्ष आपकी गति 15+5 = 20 मील प्रति घंटा है।
तो, आप विपरीत दिशा में जा रहे जॉगर्स की संख्या से दोगुने लोगों को पार करेंगे। इसका परिणाम 2/(1+2) = 2/3 होगा।
[/बिगाड़ने वाला]यह प्रश्न मेरे फोरम विजार्ड ऑफ वेगास में पूछा गया है और इस पर चर्चा की गई है।